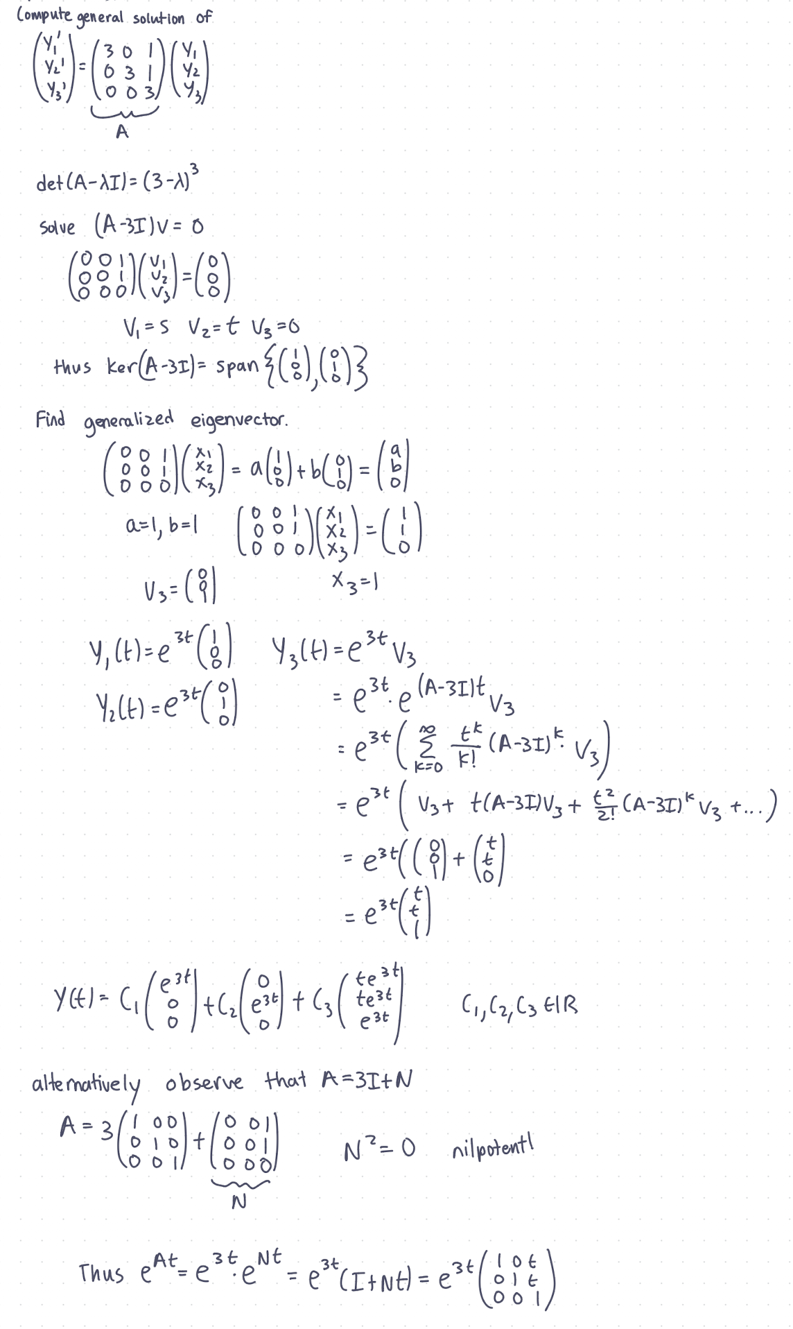
Proof
Turns out there is a shortcut through using a decomposition into identity and nilpotent matrices that save a lot of work.


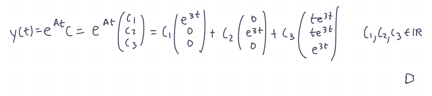
Proof
Turns out there is a shortcut through using a decomposition into identity and nilpotent matrices that save a lot of work.

