Search
❯
Mar 09, 2026
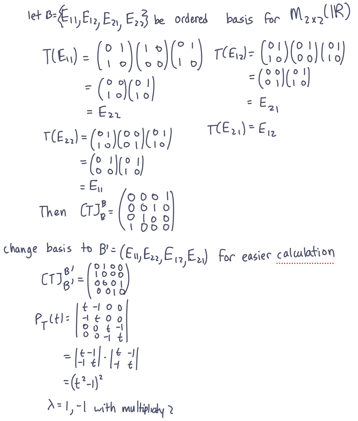
Proof It turns out there is an easier way rather then brute force computation.
Proof
It turns out there is an easier way rather then brute force computation.